Notre Dame College
Notre Dame College Mymensingh
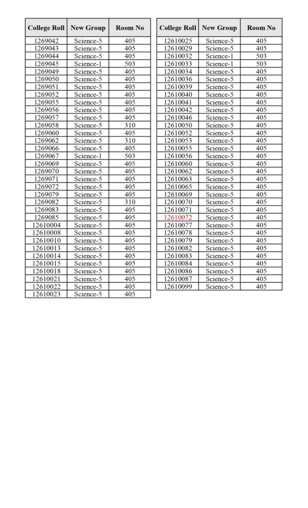
বিজ্ঞান শাখার মডেল টেস্ট রুটিন
মডেল টেস্ট ও সমাধান ক্লাশ কক্ষ নম্বর তালিকা
Your email address will not be published. Required fields are marked *
Name*
Email*
Website
Save my name, email, and website in this browser for the next time I comment.